資料ダウンロード
マルチコアファイバのコア間クロストーク解析
Lumerical MODE と Coupled Mode Theory を用いた評価事例
解析分野 : 光学、フォトニクス 業界:光通信

解析概要
本事例では、弱結合型シングルモードマルチコアファイバにおけるコア間クロストークの解析を行います。
マルチコアファイバでは、複数のコアが同一クラッド内に配置されているため、隣接コア間で光が結合し、クロストークが発生します。このクロストークは伝送性能に大きく影響するため、設計段階での評価が重要になります。
本解析では以下の流れでクロストークを算出します。
- 固有モード解析
- モード結合係数の算出
- クロストークの計算
固有モード解析には、フォトニクス解析ソフトウェア・Ansys Lumerical MODE のFDEソルバーを使用し、得られた電場分布や実効屈折率を基にモード結合係数を算出します。その後、Coupled Mode Theory(CMT)に基づく理論式を用いて、マルチコアファイバのクロストークを評価します。
背景/課題
光通信分野では、伝送容量の増大に対応するために 空間分割多重(SDM: Space Division Multiplexing) 技術が研究されています。その中で有力な技術の一つがマルチコアファイバです。
しかし、マルチコアファイバでは複数のコアが近接して配置されるため、隣接コア間での光結合によりクロストークが発生します。
クロストークの評価には以下のような課題があります。
- ファイバの曲げや捩じりによる摂動の影響
- ランダムな構造変化による結合変動
- 長距離伝搬を考慮した統計的評価
これらを厳密に数値シミュレーションで扱う場合、多数の計算が必要になることがあります。
本事例では、自己相関関数を導入した解析的手法を用いて、確率的平均としてクロストークを評価する方法を採用しました。
解析対象
弱結合型シングルモードマルチコアファイバ
本事例では、解析をシンプルにするため、2コア構造のマルチコアファイバを対象とします。
解析手法
以下のステップで解析を実行します。
(1) 固有モード解析(Lumerical MODE FDEソルバー)
(2) モード結合係数の算出(Lumerical Script / Python / Excelなど)
(3) クロストーク計算(Lumerical Script / Python / Excelなど)
解析モデル・条件及び結果
(1)固有モード解析(Lumerical MODE FDEソルバー)
まず、Lumerical MODE の FDE(Finite Difference Eigenmode)ソルバーを用いて固有モード解析を実行します。解析をシンプルにするため、本事例では2コアのファイバを想定します。
解析は以下の2つの構成で行います。
- コア1のみが存在する構成(図1(a))
- コア2のみが存在する構成(図1(b))

図1 ファイバの断面モデル (a)コア1のみ存在、(b)コア2のみ存在
モデルの詳細、計算条件については表1の通りです。
表1 モデル詳細、計算条件
| コア1 | コア2 | 共通条件 | |
| 中心座標 | (0,0) | (39.2μm,0) | |
| コア径 | 8.05μm | 7.63μm | |
| コア屈折率 | 1.4558 | ||
| クラッド屈折率 | 1.45 | ||
| 解析波長 | 1550nm |
FDEソルバーによる固有モード解析の結果は図2の通りです。

図2 固有モード分布 (a) コア1のみ存在する場合、(b)コア2のみ存在する場合
この解析によって得られる以下の情報を取得し、(2)以降で使用します。
- 電場分布 𝐸(𝑥,𝑦)
- ポインティングベクトル 𝑃(𝑥,𝑦)
- 実効屈折率 𝑛𝑒𝑓𝑓
(2)モード結合係数の算出(Lumerical Script / Python / Excelなど)
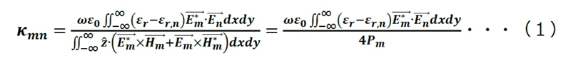
次に、コア間の モード結合係数を計算します。マルチコアファイバでは、コアnからコアmへのモード結合係数は式(1)で表されます。
参考文献:https://empossible.net/wp-content/uploads/2020/01/Lecture-Coupled-Mode-Theory.pdf

図3 マルチコアファイバモデル

ここで
- 𝜿_𝒎𝒏:コアnからコアmへのモード結合係数
- ω:角周波数
- 𝜺0:真空の誘電率
- 𝜺_𝒓:両方のコアが存在する構成の比誘電率
- 𝜺_𝒓,𝒎:コアmのみが存在する構成の比誘電率
また、
- E_𝒎、H_𝒎、P_𝒎:コアmのみが存在する構成の電場、磁場、ポインティングベクトル
- E_n:コアnのみがが存在する構成の電場
を表します。
なお、各パラメータは数値計算上、離散化されているため、式中の積分も離散化して計算します。本事例では、
モード結合係数:𝜿_𝒎𝒏=2.79×10-2
という結果が得られました。
(3)クロストーク計算
最後に、算出したモード結合係数を用いてコア間クロストークを評価します。
弱結合型マルチコアファイバのクロストーク評価には、
- Coupled Mode Theory (CMT)
- Coupled Power Theory (CPT)
などの手法が提案されています。
本事例では、以下の文献に基づく解析式を使用しました。
Koshiba, Saitoh, Takenaga, Matsuo
Analytical Expression of Average Power-Coupling Coefficients for Estimating Intercore Crosstalk in Multicore Fibers
IEEE Photonics Journal (2012)
この手法では自己相関関数を用いて平均パワー結合結合係数を導出し、クロストークを解析的に算出します。

図4 マルチコアファイバにおけるコア間クロストークの算出式
解析結果を図5に示します。

図5 マルチコア光ファイバにおけるクロストークの計算結果
ファイバ長及び相関長の条件は以下の通りです。
- ファイバ長:100m
- 相関長:50mm
得られた結果は、文献で報告されている計算結果と比較して、クロストークのオーダーおよび傾向が概ね一致することを確認しました。
本解析の効果
- マルチコアファイバにおけるコア間クロストークを定量的に評価可能
- ファイバ構造やコア配置の設計検討に活用可能
- SDM光通信システムの設計最適化に貢献
まとめ
本事例では、Lumerical MODE を用いた固有モード解析と Coupled Mode Theory に基づく理論式を組み合わせることで、弱結合型マルチコアファイバにおけるコア間クロストークを評価しました。
固有モード解析によって得られる電場分布、ポインティングベクトル、実効屈折率を用いてモード結合係数を算出し、自己相関関数を導入した解析式によりクロストークを導出することが可能です。
この手法を活用することで、マルチコアファイバの設計段階においてクロストーク特性を効率的に評価でき、光通信システムの高性能化に向けた設計検討に役立てることができます。
