資料ダウンロード
ビーム整形レンズの設計手法 - ガウシアンからトップハットへの整形
解析概要
レーザー光学系は、単に光源からレーザーを出射するだけでなく、ミラーによる反射で経路を変更したり、レンズを用いてビームの形状を変えたりなど、さまざまな光学部品と連携して構成されます。これにより、光源から出射されるレーザー本来の特性を、用途に応じて柔軟に調整することが可能です。 本稿では、光学設計ソフトウェア Ansys Zemax OpticStudio(以下、OpticStudio)の最適化機能を活用し、ガウシアンビームをトップハット分布に変換するためのビーム整形用レンズの設計手法をご紹介します。
背景/課題
ビーム整形
一般にレンズは、カメラに代表されるように光を一点に結像させる用途で使用されますが、光がレンズを通過する際の進行方向の変化を利用することで、ビームの形状を変化させることも可能です。ビーム整形光学系は、光源から出射されたビームの強度分布を、用途に応じて別の強度分布へ変換することを目的としています。通常、光源そのものを変更するよりも、出射されたビームを整形する方がコスト面でも技術面でも効率的です。代表的な例として、本稿で紹介するガウシアン分布からトップハット分布への変換が挙げられます。

図1 : レーザーの強度分布の例
設計の仕様
設計のゴール
ガウシアンの強度分布を持つビームをトップハット型の強度分布を持つビームへと変化させるレンズを最適化で設計します。
モデル
図2に示すレイアウトより、曲率を持たないN-BK7材質の平板を設計の初期形状とします。この平板の物体面側の面形状には偶数次非球面を採用し、設計変数として曲率半径、コーニック定数、および第4~第16次の非球面係数を設定しています。レイアウト上には光線の配置も描画されていますが、光線が中心付近に密集し、周辺部では疎になっている様子が確認できます。これは、図3に示すように瞳アポダイゼーションを設定し、瞳内の光線強度分布をガウシアンにしたことによる結果です。

図2 : 初期形状レイアウト

図3 : 瞳アポダイゼーション
設計条件
主にガウシアンビームを扱う際には、光が持つ波の性質(振幅や位相)について検証する波動光学解析を行います。OpticStudioでは物理光学伝搬解析がそれに該当します。しかし今回は、光を線として捉える幾何光学解析の範囲内で設計を行います。
今回の設計方針として、入力側の指定した位置の光線が像面上に到達する座標を制御することでビーム整形を行います。この仕組みの理解のため、理論的に強度分布を見てみます。今回は図4に示すような強度の推移を検証します。ガウシアン強度分布における任意の位置X、その点がトップハット強度分布に変形した位置の半径S、トップハット強度分布の全半径Kとします。

図4 : 強度の推移図
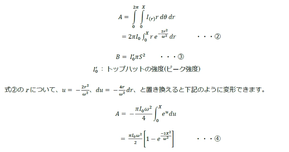
一般に半径方向rにおけるガウシアンのエネルギーは下記のようになります。

入力ビームであるガウシアンのXにおけるエネルギーA、出力ビームであるトップハットのSにおけるエネルギーBとします。特にエネルギーAは式①で変形されます。

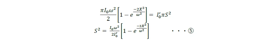
入力ビームと出力ビームのエネルギーは不変で、レンズ系を通過して形状のみが変化するとしたら(式④ : エネルギーA) = (式③ : エネルギーB)が成り立ちます。

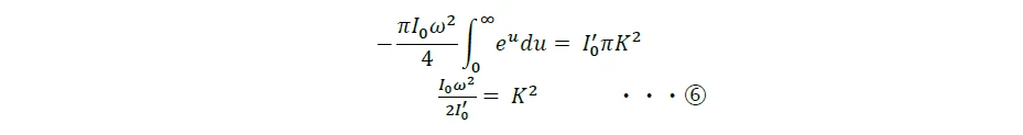
ここまでは任意の位置Xとそれに付随する半径Sについてのエネルギーを確認してきましたが、総エネルギーも同様に入力ビームと出力ビームで不変であるとすると、
(入力ビーム総エネルギー) = (出力ビーム総エネルギー)の下記の式が成り立ちます。

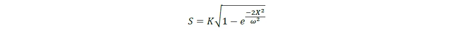
式⑥の左辺と式⑤の右辺に共通項があるので、ガウシアン強度分布における任意の位置Xから、それに対応するトップハット強度分布の半径Sは下記式から求められることがわかります。

ここまでの式の導出から、ガウシアン強度分布における任意の位置Xと、それに対応するトップハット強度分布の半径SをOpticStudioによる設計に落とし込みます。REAYオペランドでは、任意の位置から出射する光線が、指定した面に到達する座標を算出します。つまり、ガウシアンのある位置Xから出射する光線が像面上で半径Sに到達するようにREAYオペランドを設定して最適化計算を行えばよいことがわかります。
設計結果
実際の設計
メリットファンクションの作成にあたっては、REAYオペランドを追加します。より高精度な設計を実現するため、複数の(X, S)の組み合わせに対応したREAYオペランドを設定します。手動での追加は煩雑かつ計算も複雑なため、図5に示すような .ZPL マクロを用いて自動的に設定しています。マクロの最後には最適化処理も実行されるようになっています。なお、このマクロは、本記事末尾の関連記事「ガウシアンプロファイルをトップハットプロファイルに変換するビーム整形光学系の設計方法」よりダウンロード可能です。今回の検証では、ガウシアンビームのウェスト半径を5.0[mm]、トップハットの最大半径を25[mm]とし、これらはマクロ内で変数として定義しています。

図5 : REAYオペランドを追加して最適化を実行するマクロ
結果の評価
図5のマクロを実行して得られた結果が、図6および図7です。図6からは、平板の前面が非球面の凸形状に設計されていることがわかります。また、光線のレイアウトからも確認できるように、レンズ通過前は光線が中心に集中するガウシアン形状を示していますが、レンズ通過後は像面上で広がり、均一な分布へと整形されていることがわかります。

図6 : 最適化前後のレイアウトの変化
図7は、幾何光学的像解析機能でレンズ通過前後のビーム強度分布を比較したものです。ご覧のとおり、レンズ通過前はガウシアン分布、通過後はトップハット分布となっており、ビームがレンズによって適切に整形されていることが確認できます。

図7 : レンズ通過前後のビームの強度分布
まとめ
本事例では、Ansys Zemax OpticStudioを用いてビーム整形用レンズを設計し、ガウシアンビームをトップハットビームへと変換しました。幾何光学的アプローチに基づき、入力側ガウシアンビームの任意の光線が、整形後の出力側トップハットビームの対応する半径位置に到達するよう設計しています。両者の位置関係は、ビーム強度分布のエネルギーから導出しています。この手法により、OpticStudioを用いて多様なビーム整形の実現が可能です。
関連記事
Ansys Optics
ガウシアンプロファイルをトップハットプロファイルに変換するビーム整形光学系の設計方法
