勾配降下法(Gradient Descent)
勾配降下法とは、数学的最適化の手法の1つで、関数の極値(最小、または最大値)を見つけるために使用される手法です。
深層学習ではモデルの重さやバイアスのパラメータを最適化するために利用されます。
具体的には、誤差を最小化しモデルを最適化するために勾配降下法が利用されます。
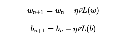
パーセプトロンの重みw、とバイアスbは学習の各ステップnで以下のように更新されます。

ここで、η は学習率(Learning rate)、L は損失関数(Loss function)をそれぞれ表します。

勾配降下法によるwの頂点(Lの極値)への漸近のイメージ
サイバネットのAIソフトウェア・ソリューション
サロゲートモデル構築のための深層学習ソフトウェア Neural Concept Studio
Neural Concept Studio (NCS) は、設計プロセスを劇的に加速する深層学習ベースのソフトウェアです。既存の形状パターンやシミュレーションデータからサロゲート(代理)モデルを構築することで、設計変更に対する解析結果が最短数ミリ秒で出力されます。
AI画像認識カスタムソリューション
製造業特化の欠陥検出AIソリューションです。お客様の工場ごとに最適化されたフルオーダーメイドAIだからこそ、他社の汎用AIでは検出できない微細な欠陥も検出可能に。金属・樹脂・塗装・半導体など、あらゆる検査ニーズに対応します。
